鉆石會員
已認證
關鍵詞:有機相Zeta電位、電池漿料、NMP
近些年來,新能源產業發展迅速。鋰電池作為一種可重復使用的可充放電電池,在工業生產和生活中具有非常重要的地位。在鋰電池的生產過程中,配置電極漿料需要使用NMP(n-甲基吡咯烷酮)作為分散劑。NMP在漿料配料階段作為PVDF的溶劑,參與漿料的分散,形成比較均勻的分散體系,在涂布階段作為漿料的主要載體,輔助漿料均勻的涂敷在基材上。在涂布烘烤階段,NMP有規律的被揮發,在涂層中造孔,形成分布均勻的多孔微電極結構。

電池電極材料在NMP中的穩定性非常重要,這涉及到電極的生產質量。這個應用中,我們檢測了一系列分散在NMP中的漿料的Zeta電位。
原理和設備
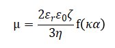
我們采用丹東百特儀器有限公司的BeNano 90 Zeta 納米粒度及 Zeta電位分析儀進行測試。該儀器使用納米粒度電泳光散射技術ELS,利用激光照射在樣品溶液或者懸浮液上,檢測向前角度的散射光信號。在樣品兩端施加一個電場,樣品中的帶電顆粒在電場力的驅動下進行電泳運動。由于顆粒的電泳運動,樣品的散射光的頻率會產生一個頻移,即多普勒頻移。利用數學方法處理散射光信號,得到散射光的頻率移動,進而得到顆粒的電泳運動速度,即電泳遷移率μ。通過Henry方程,我們把顆粒的電泳遷移率和其Zeta電位ζ聯系起來:

其中ε為介電常數,η為溶劑粘度,f(κα)為Henry函數,κ為德拜半徑倒數,α代表粒徑,κα代表了雙電層厚度和顆粒半徑的比值。
我們采用丹東百特儀器有限公司的BeNano 90 Zeta 納米粒度及 Zeta電位分析儀進行測試。儀器使用波長671 nm,功率50mW激光器作為光源,設置在12度角的APD檢測器進行散射光信號采集。采用相位分析光散射技術,可以有效檢測低電泳遷移率樣品的Zeta電位信息。

樣品制備和測試條件
一共有四個電池電極材料,分別分散在NMP溶劑中。由于有機相NMP的介電常數較低,所以采用插入式電極進行測試。每個樣品測試6次以得到平均值和標準偏差。
測試結果和討論

圖1. 1#樣品的多次測試相圖曲線

圖2. 1#樣品的多次測試Zeta電位分布曲線

圖3. 2#樣品的多次測試相圖曲線

圖4. 2#樣品的多次測試Zeta電位分布曲線

圖5. 3#樣品的多次測試相圖曲線

圖6. 3#樣品的多次測試Zeta電位分布曲線

圖7. 4#樣品的多次測試相圖曲線

圖8. 4#樣品的多次測試Zeta電位分布曲線

表1.4個樣品的Zeta測試結果
通過圖1-圖8中的樣品原始相位曲線和分布曲線以及表1中的數據可以看到,電極材料分散在NMP中進行電位測試,重復性良好。所有樣品的Zeta電位均為負值,這說明電極材料分散在NMP中攜帶負電。四個樣品的Zeta電位幅值都在50mV附近,較高的Zeta電位說明樣品的穩定性較高。多次測試的標準差較小說明測試的重復性良好。


