白金會員
已認證
2024年,農業農村部印發《飼用豆粕減量替代三年行動方案》,聚焦“提質提效、開源增料”,推行提效、開源、調結構等綜合措施。通過強化飼料新產品、新技術、新工藝集成創新和推廣應用,引導飼料養殖行業科學減少豆粕用量,促進飼料糧節約降耗。
2024 年我國累計進口糧食 1.58 億噸。其中大豆進口超1億噸,占到糧食進口總量的 66%,主要用于發展養殖業的飼料。據相關信息,2024年飼料成本在養豬業成本中占比約 65%。提高農產品的生物利用率,從而減少糧食消耗,與此同時減少不良粒徑組分對牲畜的健康風險,對降低養殖成本的行業現代化精細化管理大有裨益。

與谷物糧食的生物利用率有關的因素包括畜禽的種質,飼養方式,飼料配方組成等等。飼料中多種原料的顆粒的尺寸控制亦是其中一個重要環節。激光粒度儀作為傳統篩分的高效替代解決方案,以其測試范圍寬廣、分析速度快、結果準確且受操作者影響小、重現性好、需要樣品量少等優點,在飼料配方開發中的應用日益普及開來。
飼料粒度如何影響飼料效率和養分利用?通過增加單位飼料體積的總表面積,達到最佳飼料顆粒尺寸將提高養分的消化率。其原理是消化酶可作用于飼料中的營養物質更多的表面積,因此畜禽的消化系統會更好地消化飼料。蛋白質、能量和其他營養物質的消化率一般隨著飼料顆粒尺寸的優化而提高,提高消化率一般能提高飼料轉化率。同時,達到最佳粒徑配比可以影響飼料混合的均勻性,并減少向動物輸送飼料時出現的營養成份分離。如果在飼料的生產過程中沒有采取適當的顆粒粒徑分布質控措施,提供均衡飲食的好處可能會喪失。

有研究表明1,不同粒徑的玉米和高粱在生豬養殖的一個階段(初始7~8kg養至23kg)單位重量產出的飼料的消耗量與飼料研磨粒徑有關,如下圖。粒徑越大,養殖利用效率越低。每超過最佳值100微米,每頭豬的飼料成本將增加約14元。如果生產商將飼料粒度從1000微米到700微米,每頭豬養殖在該階段可節省約40元。

當然,飼料的粒度也并不是越細越好,一方面太細的研磨或碾碎會增加能源消耗,另一方面飼料顆粒過細會增加貯藏和喂食器設計的難度,甚至還可能增加育肥豬的潰瘍發病率及呼吸困難。相比傳統的篩網,激光粒度儀可以快速且精準地分析飼料尺寸,對于多種不同類型飼料研磨加工的多工藝參數調整提供及時的指導,不僅可以提供顆粒尺寸的整體信息,還可以提供不同粒徑上的顆粒含量信息(與飼料的混勻性相關),從而提高飼料品質。
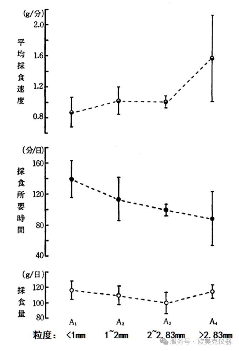
除此以外,有研究2指出,飼料的粒徑不僅與畜禽的采食量、料重比及健康有關,也直接影響到畜禽的采食速度。如下圖所示,在該研究中,雞飼料的粒徑在2~2.83mm顯示出最佳的料重比,同時粒徑越小,雞的采食時間越長,采食速度越慢。

除此以外,畜禽飼養中使用到的必不可少的各種營養添加劑和藥品,例如碳酸鈣粉、膨潤土粉、海泡石粉、脫脂骨粉、花生殼粉等,其中粒徑分布與有效成份的生物利用度和代謝時間都是息息相關的。
歐美克Topsizer Plus激光粒度儀引入了國際先進的光學設計,結合歐美克三十余年的技術積累,采用全球化的供應鏈體系,保持了Topsizer量程寬、重復性好、分辨力高、真實測試性能強和智能化程度高等優點,擁有0.01~3600um超寬廣范圍內快速準確的飼料顆粒粒徑分析能力,正在為我國飼料用糧食的減量增效提供應有的貢獻。

▲ 歐美克Topsizer 激光粒度分析儀
● 測試范圍:0.01-3600μm
● 重復性:優于0.5%(標樣D50偏差)
● 準確性:優于0.6%(標樣D50偏差)


