

色漿的好壞主要是由該色漿的研磨顏料顆粒決定的,在色漿的生產過程中,顏料顆粒分散的狀態直接影響著色漿的分散及貯存穩定性。同時顏料在很大程度上影響到UV固化體系的固化時間。由于顏料能夠吸收一部分輻射能量,這將影響光引發劑對于光的吸收,進而影響形成的自由基濃度,結果會降低顏料體系的固化速率。
水性無樹脂UV噴墨色漿的顏料含量應盡量合適,其加入量只要能夠達到墨水對材質的著色和遮蓋力即可,這樣可以最大程度地降低色漿在墨水中的應用量,減小色漿在墨水中的消極作用。經典的斯托克斯公式同樣適用于顏料研磨體系中,我們可以有根據Stokes公式得出顏料子發生沉降的速度與體系中的粘度正好為反比。

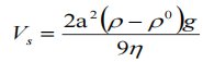
公式中,Vs代表粒子的沉降速度,m/s;a為體系粒子的半徑,m;g為重力加速度(9.8m/s2);η為色漿粘度,Pa·s;ρ,ρ0分別表示顆粒密度和分散介質密度kg/cm3。由公式可以得出色漿體系的粘度隨著顏料含量的增加而增大,因此增加顏料含量可以降低顏料顆粒的沉降速度,粒子間的絮凝問題也會減小,所以顏料量的合理增加對色漿的貯存穩定性是有利的。但是,如果顏料含量過高,色漿體系中顏料粒子之間的距離會變小,分散劑的穩定作用不能打破粒子間的吸引力,這樣顏料顆粒會更易發生絮凝現象,從而使顆粒變大易發生沉淀,體系也更容易發生分層。顏料含量增加后,顏料顆粒的潤濕效果較差,同時顏料顆粒的分散性變差,則顏料顆粒大小不均,不能達到理想的研磨效果。
非均勻性的顏料顆粒表面裸露部分彼此團聚,以此增加水性無樹脂UV色漿的粘度,所以為了把顏料研磨得更均勻,最重要的就是選取粒徑分布均勻的鋯珠(例如賽諾鋯珠)研磨分散,這樣出來的產品粒徑也均勻。顏料含量和顏料的生產工藝十分重要,其直接影響著研磨色漿的分散穩定性能。