金牌會員
已認證
Frank Thielmann, Daryl Williams Surface Measurement Systems Ltd, UK
玻璃化轉變溫度是表征聚合物、食品、制藥和許多天然產物的一個重要性質。IGC可以 快速、準確地測定這種特性及其對相對濕度的依賴性。本文描述了無限稀釋下麥芽糖 Tg的表征。
引言
玻璃化轉變溫度(Tg)是一種二階相變,此時非晶態或部分晶態材料從玻璃態固體變為 橡膠/皮革狀固體。這個溫度標志著材料中長距離協同分子鏈運動的開始,許多材料的性質在這個轉變溫度下發生了顯著的變化。在Tg之上,材料表現出宏觀的粘彈性性 質。Tg很大程度上取決于環境條件和材料性能,如濕度和形態。眾所周知,水是許多有機 材料的增塑劑。與差示掃描量熱法(DSC)和動態機械熱分析(DMTA)等傳統的Tg表征技 術相比,反氣相色譜法(IGC)可以為研究不同相對濕度條件下的Tg提供一種簡單、快速的方法。
例如,聚合物無論是合成的還是天然的大分子,都表現出玻璃化轉變行為。在過去的 30年里,人們使用IGC研究了許多這樣的轉變[1,2,3]。然而,利用IGC來確定水分對Tg 的影響此前尚未有報道。
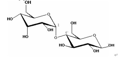
目前研究中使用的一種合適的模型物質是麥芽糖。麥芽糖是兩個葡萄糖單位的雙糖(圖
1),用作甜味劑或營養[3]。

圖 1. a-D-麥芽糖的結構
假設吸附焓在較寬的溫度范圍內是恒定的。在這些條件下,吸附熱由lnVN/T與1/T[5]的曲線得到。

在相變的情況下,焓對溫度的依賴性變為非線性的。這種對曲線線性的偏離很大程度 上取決于吸附質/吸附劑相互作用的性質,但它主要受從Tg以下的表面吸附到Tg周圍的體相吸收的保留體積的變化所支配。對于許多材料,如聚合物和食品,由于發生的平 衡和非平衡吸附行為的復雜結合,可以觀察到保留曲線的最小值[1,6]。
實驗
用Sigma-Aldrich提供的α-D-麥芽糖一水(>純度98%)填充四個不同的樣品柱。所有的吸 附實驗都在SMS- iGC 2000上進行。用癸烷蒸汽(Sigma-Aldrich高效液相色譜等級)作為分子探針進行測量。柱在0%、5%、10%和15% RH(相對濕度)條件下進行研究。0% RH
實驗在65 - 101℃之間進行,5%、10%和15%的實驗在37 - 82℃、30 - 75℃和40 - 67℃
之間進行。每個實驗在起始溫度和實驗RH下進行干燥預處理3小時。
結果
圖3顯示了一個典型的實驗曲線。在右側,曲線顯示出明顯的與表面吸附有關的線性行為。在較高的溫度下,曲線開始表現出對線性的顯著偏差,并在曲線的高溫分支上經 過一個最小值后增加。假設曲線的這部分代表非平衡探針吸收。

最小溫度代表玻璃化轉變的實際溫度,可由多項式方程的一階導數導出。不同相對濕度下的結果見表1。


該數據與發表的麥芽糖在0%RH 360-365K[8]下的Tg值非常一致。
結論
無限稀釋條件,IGC可以提供一種快速簡便的方法來測定不同相對濕度下有機物的二階相變效應。在麥芽糖的案例中,該方法被證明可以精確地測定玻璃化轉變溫度。
參考文獻
[1] Smidsrod,O. and Guillet, J.E., Macromolecules, 2 (1969), 272.
[2] Bogiollo, V.I. and Voelkel, A., Journal of Chromatography 715 (1995), 127.
[3] Hamieh, T. and Rezzaki, M., J., Chim. Phys., Phys.-Chim. Biol. 95 (1998), 1964.
[4] Johnson, A., Specialized Sugars for the Food Industry, Park Ridge, Noyes 1976.
[5] Thielmann, F. and Butler, D., Systems, London, 2000.
[6] Surana, R., Randall, L., Vemuri, N. M. and Suryanarayanan, R., Pharm. Res. 20 (2003), 1647.
[7] Roos, Y.H. and Karel, M., Journal of Food Science , 56 (1991), 1676.
[8] Roos, Y.H., Phase Transitions in Food, Academic Press, (1995), 115.


